
IWMPRAISE danske udgivelser
EU-projektet IWMPRAISE (Integrated Weed Management: PRActical Implementation and Solutions for Europe) løber i 5 år fra juni 2017 til maj 2022.

EU-projektet IWMPRAISE (Integrated Weed Management: PRActical Implementation and Solutions for Europe) løber i 5 år fra juni 2017 til maj 2022.
Formålet med projektet er at støtte, udvikle og promovere implementeringen af integreret ukrudtsbekæmpelse I Europa. Projektet bliver koordineret af professor Per Kudsk fra Aarhus Universitet og har deltagelse af i alt 37 partnere fra Danmark, England, Holland, Frankrig, Spanien, Italien, Schweiz og Slovenien.
Fra Danmark deltager Aarhus Universitet, VKST, Frank Poulsen Engineering, AgroIntelli, FRDK og SEGES. Projektet har en engelsksproget hjemmeside, www.iwmpraise.eu, hvor man kan læse mere om projektet og dets resultater.
På denne side vil der løbende blive indsat links til dansksprogede publikationer, som mestendels vil omhandle de forsøg, der gennemføres i Danmark som del af projektet. Det drejer sig om forsøg dels med kornbaserede sædskifter med vinterhvede som forsøgsafgrøde og dels med dyrkning af rækkeafgrøder, med sukkerroer som forsøgsafgrøde.
Af Mette Sønderskov, AU, Flakkebjerg
Demonstrationsforsøget blev udført hos VKST i forsøgsmarken ved Slimminge. Strategierne blev diskuteret og planlagt på et møde med deltagelse af SEGES, FRDK, AU og VKST.
De planlagte strategier er baseret på en kombination af jordbearbejdning, såtidspunkter, såning på stor rækkeafstand, mekanisk bekæmpelse og båndsprøjtning (tabel 1).
Sen såning er et af de hyppigste tiltag, når der er problemer med græsukrudt. I denne forsøgsmark er der ikke græsukrudt i nævneværdig grad, men det blev alligevel besluttet at sammenligne forskellige såtidspunkter, da det også er interessant at se, hvad det betyder for bredbladet ukrudt.
I den foregående sæson var det tydeligt, at timingen for radrensningen er ekstremt vigtigt og at det kan føre til høje ukrudtsmængder, når det ikke er muligt at radrense på det optimale tidspunkt i forhold til ukrudtsfremspiring. I denne sæson er der derfor tilføjet strategier, hvor radrensning kombineres med båndsprøjtning for at imødegå problemer ved dårlig timing (figur 1). For at øge kornets konkurrenceevne, er der desuden så med højere udsædsmængde for at opnå en højere tæthed i rækken.
I 2018-2019 sæsonen var der en udbytte gevinst ved at udså en højere udsædsmængde og dette er inkluderet i strategi 2. For at kunne kombinere med mekanisk bekæmpelse er disse strategier desuden sået med stor rækkeafstand, og strategi 3 er ydermere sået sent.
Der er anlagt to strategier uden jordbearbejdning, hvor strategi 6 er sent sået vinterhvede (3. okt.) og strategi 7 er endnu senere sået vårhvede (22. nov). En del landmænd er begyndt at vælge vårhvede til den ekstremt sent såede hvede, da der i visse situationer er opnået et bedre udbytte ved sen såning. Der er en risiko for udvintring, men de lunere vintre mindsker denne risiko. I disse strategier blev der etableret en efterafgrøde lige efter høst i august, som blev nedvisnet med glyphosat i slutningen af september inden såning.
Strategierne blev etableret med god fremspiring (figur 2 og 3). Som forventet bestod ukrudtsfloraen mest af bredbladet ukrudt.

Figur 1: Båndsprøjtningen blev udført med en parcelsprøjte, hvor et T-stykke var monteret på hver dyse for at opnå 25 cm afstand mellem dyserne. Der blev kørt med lav bomhøjde og dermed opnåede vi et sprøjtet bånd på omkring 10 cm.

Tabel 1: Strategier etableret i efteråret 2019 på VKST’s forsøgsareal ved Slimminge. Hver strategi er etableret på en 10 m bred stribe gennem marken for at give en visuelt indtryk af effekterne. Belastningsindeks og behandlingsindeks er angivet under strategierne.
De strategier, der kombinerede radrensning med båndsprøjtning (strategi 4 og 5) havde den laveste ukrudtsbiomasse, bortset fra standard strategien (strategi 1), hvor der stort set ikke blev observeret noget ukrudt (figur 3). Den meget sene såning af vårhvede (strategi 7) var det tredje bedste alternativ. De samme tre strategier viste de bedste resultater, når der var tale om visuelt ukrudtsdække. Afgrødens fremspiring blev registreret tidlig forår, hvor de sent såede strategier med øget udsædsmængde havde den højeste fremspiring per m2 (figur 4).

Figur 2: Foto fra 24. okt 2019, ca. 2 uger efter den sene såning af vinterhvede og fra foråret.
Da afgrødebiomassen blev registreret i juni havde standard strategien den højeste biomasse efterfulgt af den direkte såede vinterhvedestrategi (strategi 6). Der var en tendens til at denne strategi opnåede højere biomasse i juni og et højere udbytte end de andre alternative strategier, men dog lavere end standarden (figur 4). Radrensning kombineret med båndsprøjtning øgede udbyttet i forhold til kun at radrense (strategi 4-5 sammenlignet med to 2-3). I strategi 4 og 5 var behandlingsindekset 47% af standard strategiens (1.69). I de direkte såede strategier (6 og 7) gav brugen af glyphosat et behandlingsindeks på 51% af standardstrategiens. Belastningsindekset for strategi 4 og 5 var kun 34% af standard strategiens (1.07), da forårssprøjtningen blev udeladt. De direkte såede strategiers belastningsindeks var højere end standarden, da glyphosat vurderes som mere skadelig.
Den foreløbige konklusion fra dette års demonstrationsforsøg er at ingen af de afprøvede alternative strategier kunne opnå samme udbytte, som standard strategierne, men der var et lavere herbicidforbrug. Det bedste alternativ, når både ukrudtsbekæmpelse og udbytte tages i betragtning, var kombinationen af radrensning og båndsprøjtning. Den direkte sent såede strategi med vinterhvede opnåede et højere udbytte, men en dårligere ukrudtsbekæmpelse.

Figur 3: Ukrudt i juni som frisk vægt og visuelt vurderet dækning. Strategierne svarer til strategi 1-7 fra venstre mod højre.

Figur 4: Resultater for afgrøden fremspiring, biomasse i juni og udbytte. Strategierne svarer til strategi 1-7 fra venstre mod højre.
Demonstrationsforsøget er anlagt hos NBR på Lolland. Det er blevet vist frem, som en del af Roedagen i juni. Der er en større demonstrationsværdi i at have forsøget her, end i Flakkebjerg.
Forfatter: Mette Sønderskov, AU
Radrensning anses generelt for at være et praktisk alternativ til bredsprøjtning, især under problematiske forhold som i 2018 under tørken. I kombination med båndsprøjtning kan der opnås gode effekter med lavere herbicidforbrug. Flere og flere herbicider bliver begrænset i anvendelse, f.eks. ved lavere doseringer, og der er risiko for at flere aktivstoffer forsvinder fra markedet i de kommende år. Derfor er det interessant at undersøge mulighederne for denne type strategier. Strategierne blev planlagt med en gradvis reducering af herbicidforbruget i kombination med en højere mekanisk bekæmpelsesintensitet (se tabellen nedenfor). Der blev etableret to gentagelser af forsøget.
Generelt blev der opnået en tilfredsstillende bekæmpelse i alle strategier, men der kunne dog findes mere ukrudt i rækken i strategi 3 end i de andre. Den primære ukrudtsart er ærenpris, men hvidmelet gåsefod, snerlepileurt of fuglegræs findes også i betydeligt antal.
Der vil komme en opdatering, når flere resultater er indsamlet senere på året.
Det nationale cluster mødtes i juni og diskuterede strategierne. Der var enighed om at arbejde videre med radrensning i kombination med båndsprøjtning. Andre strategier blev diskuteret f.eks. muligheden for at radrense i to retninger. Strategierne for 2020 vil blive præsenteret senere på året.

Billede: Fremvisning på Roedagen hos NBR
Det nationale cluster består af projektpartnere/underleverandører fra SEGES, FRDK, NBR og AU (Aarhus Universitet, Agroøkologi, Flakkebjerg). Formålet er at bringe forskellige interessenter sammen og i fællesskab beslutte, hvilke strategier, der er relevant under danske forhold. Tilsvarende nationale clusters findes i Frankrig, Italien, Slovenien og Holland, hvor der arbejdes med majs eller grøntsager. Der er fokus på mekanisk ukrudtsbekæmpelse enten i form af radrensning eller brænding. Der arbejdes med forskellige teknologier og redskaber. I majs arbejdes der også med reduceret jordbearbejdning og no-till systemer. Der er anlagt et større forsøg i Holland ved Wageningen University and Research, som har fokus på sædskiftet omkring grøntsager og integreret bekæmpelse.

Figur 1: Billeder af standard og båndsprøjtede strategier i konventionel sort og en usprøjtet parcel til sammenligning. Der var en uens fremspiring af roer i marken, hvilket kan ses på billederne.
Denne sæson var præget af usædvanlige vejrforhold, hvilket kan ses i resultaterne.
Forfatter: Mette Sønderskov, AU
Forsøget blev etableret i slut april til start maj, hvor der efterfølgende var meget høje temperaturer og ingen nedbør. Forsøgslokaliteten modtog en nedbørsmængde på 198 mm fra april til september, hvilket er 184 mm mindre end året før og meget lavt for dette område. I samme periode var gennemsnitstemperaturen omkring 2 ℃ højere end i 2017 med temperaturer i sommeren, der nåede 32 ℃ i juli sammenlignet med 25 ℃ i 2017. Det var ikke muligt at vande i forsøget, da behovet ikke var forventet og kapaciteten blev presset på forsøgsarealerne denne sommer.
De meget tørre forhold gjorde det vanskeligt at udføre standard herbicidprogrammet med en god timing i forhold til ukrudtsfremspiring. Ukrudtet udviklede et tykt vokslad og ukrudtet var derfor mindre følsomt over for herbiciderne end normalt. Specielt raps og hvidmelet gåsefod var svære at bekæmpe med det normale herbicidprogram, bestående af metamitron, ethofumesate og phenmedipham. Båndsprøjtningsstrategierne blev behandlet med samme herbicidprogram, som standard strategien, dog kun i rækken i kombination med radrensning. Den ALS-tolerante sort blev behandlet med foramsulfuron and thiencarbazone som anden sprøjtning, disse påvirkes mindre af vokslaget og har en god effektivitet over for raps og hvidmelet gåsefod. Denne strategi modtog samme herbicidbehandling i første sprøjtning som strategi 2. Pga. forholdene og den dårlige effekt af sprøjtningerne blev der lagt en radrensning ind i alle strategier. Det betyder at radrensning blev gennemført to gange i strategi 2 og 4 og en gang i strategi 1 og 3. Strategi 3 blev sået 2 uger senere end de andre strategier og den første radrensning i strategi 1, 2 og 4 var unødvendig.
Ved høst var udbytterne i den lave ende pga. tørken, men der kan ses nogle forskelle mellem strategierne (figur 1, 2).
Ukrudtsbekæmpelsen var ikke tilfredsstillende og alle strategier have for højt ukrudtstryk. Der var en fordel af ALS-herbicid sprøjtningen i strategi 4, hvor en lavere ukrudtsbiomasse i slutningen af sæsonen sandsynligvis har resulteret i et bedre høstudbytte. ALS-tolerante roer har normalt et lidt lavere udbytte end de traditionelle sorter.
Den ALS-tolerante sort er medtaget, da der er interesse omkring en mulig markedsføring i Danmark. Man skal dog have for øje at brug af ALS-herbicider i sukkerroer kan være et problem i forhold til udviklingen af LS-resistens. Normalt er sukkerroer en afgrøde, der kan ses som resistensforebyggelse, da der bliver længere mellem brugen af ALS-herbicider i sædskiftet.

Billede 1: strategi 4 med den ALS-tolerante sort ses til venstre, mens strategien med senere såning, båndsprøjtning med standard herbicidprogram og radrensning ses til højre.

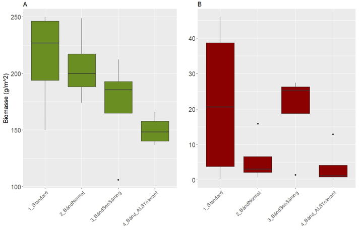
Figur 1: Friskvægt af afgrøde (A) og ukrudt (B) i juni 2018 for de fire strategier. Standard med radrensning (strategi 1), BåndNormal med standard herbicidprogram i rækken kombineret med radrensning (strategi 2), BåndSenSåning med to ugers falsk såbed fulgt af standard herbicid som båndsprøjtning og radrensning (strategi 3) og Bånd_ALStolerant med standard herbicidvalg i første båndsprøjtning fulgt af ALS-herbicid i anden båndsprøjtning (strategi 4). Strategierne er beskrevet i flere detaljer i tidligere opslag her på siden.

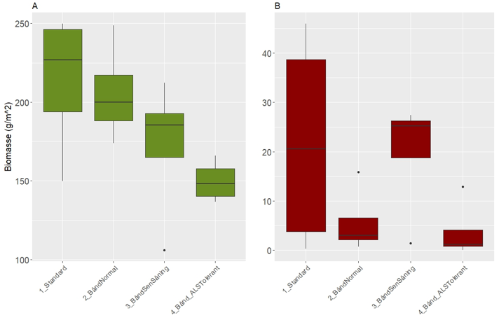
Figur 2: Udbytte (A) og tørvægt af ukrudtsbiomasse (B) ved høst. Standard med radrensning (strategi 1), BåndNormal med standard herbicidprogram i rækken kombineret med radrensning (strategi 2), BåndSenSåning med to ugers falsk såbed fulgt af standard herbicid som båndsprøjtning og radrensning (strategi 3) og Bånd_ALStolerant med standard herbicidvalg i første båndsprøjtning fulgt af ALS-herbicid i anden båndsprøjtning (strategi 4). Strategierne er beskrevet i flere detaljer i tidligere opslag her på siden.
Denne sæson var præget af usædvanlige vejrforhold, hvilket kan ses i resultaterne.
Forfatter: Mette Sønderskov, AU
Forsøget blev etableret under meget våde forhold og der var en kold periode i foråret 2018, som blev fulgt af et omslag til meget høje temperaturer og ingen nedbør. Forsøgslokaliteten modtog en nedbørsmængde på 198 mm fra april til september, hvilket er 184 mm mindre end året før og meget lavt for dette område. I samme periode var gennemsnitstemperaturen omkring 2 ℃ højere end i 2017 med temperaturer i sommeren, der nåede 32 ℃ i juli sammenlignet med 25 ℃ i 2017. Det var ikke muligt at vande i forsøget, da behovet ikke var forventet og kapaciteten blev presset på forsøgsarealerne denne sommer.
En oversigt over de forskellige strategier er vist i de tidligere opslag om forsøget.
Disse udfordringer forklarer til dels de forskelle, der blev observeret gennem sæsonen mellem strategierne. Selv med en ikke-optimal etablering i de direkte såede strategier (3 og 5) havde de et højere plantetal efter vinteren sammenlignet med standard strategien. Det højeste plantetal blev observeret i de strategier, som blev sået på høj rækkeafstand (strategi 4 og 6). Her var udsået en højere mængde, for at kompensere for et mindre antal rækker pr. meter og for at sikre en høje konkurrence i rækken, hvor ingen ukrudtsbekæmpelse er mulig uden herbicider. Dog sås en lavere afgrødebiomasse i de direkte såede strategier i juni, hvor strategierne med højere rækkeafstand havde den højeste afgrødebiomasse (figur 1).
Ved høst var der dog sket et skift, så de direkte såede strategier resulterede i det højeste udbytte. Der blev samlet ukrudtsbiomasse på samme tid i juni, men generelt var ukrudtsmængden meget lav (figur 2).
Den ekstremt tørre sommer forhindrede ukrudtsfremspiringen i foråret og det er svært at konkludere noget om strategierne indflydelse på ukrudtets vækst i denne sæson.
De direkte såede strategier fremstod som mere tørketolerante end de pløjede strategier. Strategier med højere rækkeafstand så lovende ud mht. afgrødebiomasse i den tidlige del af sæsonen, men kunne ikke modstå tørken. Det er svært at forklare forskellen mellem strategi 4 og 6, da den eneste forskel er en strigling lige efter radrensningen i strategi 6. Det tilskrives tilfældige forskelle. Forsøget er ikke udlagt med egentlige gentagelser, da det er et demonstrationsforsøg, hvor det visuelle indtryk har forrang.

Figur 1: Sammenhæng mellem afgrødebiomasse i starten af juni og udbyttet i de 6 strategier. Strategi 5: Brede rækker (18 cm) + glyfosat før direkte såning + senere såning + herb. efterår, strategi 3: Brede rækker (18 cm) + glyfosat før direkte såning + senere såning + herb. efterår + behovsbaseret forår, strategi 1: standard vinterhvede, strategi 2: standard + senere såning + herb. efterår, strategi 4: Brede rækker (20 cm) + senere såning + radrensning i forår, strategi 6: Brede rækker (20 cm) + senere såning + radrensning i forår + ukrudtsstrigling.

Figur 2: ukrudtsbiomasse i starten af juni i de 6 strategier. Se forklaring på strategier i figurtekst til figur 1.
De anlagte strategier er beskrevet i tabellen. Demonstrationsforsøget blev anlagt i efteråret hos VKST nær deres forsøgsgård ved Fjællebro på Sjælland.
Den oprindelige plan fremgår af tidligere opslag her på siden, og den udførte plan er angivet i tabellen nedenfor.
Forfatter: Mette Sønderskov, AU
En dårlig etablering af den direkte såede strategi (strategi 4) førte til at denne blev pløjet ned i foråret 2019. Der var større områder, hvor der ikke spirede planter. Ved en tælling i nov. var der 93 pl/m2 i de bedst fremspirede områder sammenlignet med 163 pl/m2 sammenlignet med 163 i standardstrategien. Der er derfor ingen direkte såede strategier i det endelige resultat. Meget våde forhold i marts 2019 gjorde det umuligt at gennemføre den planlagte radrensning af strategien uden herbicider (strategi 5). Radrensningen blev skubbet til midten af april og det er efterfølgende tydeligt at det var for sent. Der var ikke behov for ukrudtsbekæmpelse i foråret i standardstrategien og strategien med høj såtæthed. Der blev sprøjtet i den tidligt såede strategi i foråret, primært mod burresnerre. De hyppigst forekommende ukrudtsarter var burresnerre, raps, fuglegræs, tvetand, hundepersille, kamille, valmue, enårigt rapgræs, storkenæb og agerstedmoder. Desuden blev væselhale, rajgræs og agerrævehale observeret, primært i den tidligt såede strategi. Dette støtter op omkring rådet om sen såning, når der er problemer med græsukrudt. Dog kan det ikke udelukkes at dette bunder i en uens fordeling af græsukrudt i marken, da forsøget ikke er gentaget med tilfældig placering i marken.


Billede 1: Radrenset strategi (strategi 5) i slutningen af maj.
Det kan ses på ukrudtsbiomassen, at der har været en utilstrækkelig ukrudtsbekæmpelse i strategi 4 (billede 1 og figur 1). Gennem årene har denne strategi dog været afprøvet i forsøg på Flakkebjerg og det kan lade sig gøre at bekæmpe ukrudt med radrensning i korn. I dette års demonstrationsforsøg er rækkeafstanden 25 cm, men en mindre rækkeafstand er at foretrække, hvis man har såudstyret og radrenseren til dette. Gerne ned omkring 15 cm. Ydermere kan der arbejdes med en højere såtæthed i rækken, hvilket er gjort i demonstrationsforsøget, hvor antal fremspirede planter var 50% højere end i standardstrategien. Begge dele øger kornets konkurrenceevne over for ukrudt. I demonstrationsforsøget er den samme sort sået i alle strategier for at kunne sammenligne på tværs (Torp). Men man kan med fordel vælge en sort, der dækker af for ukrudt tidligere om efteråret/tidligt forår. Den lavere afgrødebiomasse er hovedsageligt et resultat af ukrudtets konkurrence (figur 1).
I alle de sprøjtede strategier er ukrudtsbekæmpelsen tilfredsstillende, dog er der en del ukrudt tilbage i den tidligt såede strategi på trods af forårssprøjtningen. Dette tilskrives en sen fremspiring af ukrudt og at ikke alle arter blev taget i betragtning ved herbicidvalg, som primært var målrettet burresnerre.
Det nationale cluster mødtes i juni og diskuterede strategierne. Der var enighed om at arbejde videre med radrensning i brede rækker evt. i kombination med båndsprøjtning. Derudover vil næste års demonstration indeholde efterafgrøde fulgt af direkte sen såning, evt. meget sen såning med vårhvede i november.
Det nationale cluster består af projektpartnere fra SEGES, FRDK, VKST og AU (Aarhus Universitet, Agroøkologi, Flakkebjerg). Formålet er at bringe forskellige interessenter sammen og i fællesskab beslutte, hvilke strategier, der er relevant under danske forhold. Tilsvarende nationale clusters findes i Frankrig, Italien, Slovenien og England, hvor der også arbejdes med vinterhvede eller sædskifter med høj andel af vinterhvede. I Frankrig er hovedfokus på økonomien i sen såning både under no-till og reduceret jordbearbejdningsstrategier. Der arbejdes desuden med alternativer til glyphosat før såning. I Italien er der stort fokus på efter- og mellemafgrødevalg. Desuden bliver samdyrkning undersøgt for forskellige afgrødekombinationer. I Slovenien er fokus på strategier med forskellige kombinationer af herbicider og mekanisk ukrudtsbekæmpelse. Endelig har England arbejdet med tiltag i sædskiftets vårafgrøder som hjælp til bekæmpelse af græsukrudt i vinterhvede og indflydelse af at udelade pløjning i de samme afgrøder. Fokus i de engelske forsøg er lidt anderledes, da græsukrudt stort set ikke kan bekæmpes i vinterhvede længere pga. resistens.

Figur 1: Afgrøde- (grøn) og ukrudtsbiomasse (rød) sidst i juni 2019. Tallene i boksene for afgrødebiomasse angiver den gennemsnitlige plantetæthed i november 2018. Strategierne fra venstre mod højre i figuren: strategi 1, 2, 3 og 5. Den direkte såede strategi 4 blev pløjet ned i foråret pga. dårlig etablering (plantetælling i november var 93 pl/m2). Da demonstrationsforsøget er anlagt i brede striber henover marken er der ingen reelle gentagelser. Det visuelle indtryk blev prioriteret frem for reelle gentagelser i marken. Derfor er resultaterne fra forskellige steder i striben og der kan forekomme variationer i marken, som ikke afspejles i data.

Figur 2: Afgrødebiomasse i juni (grøn) sammenlignet med høstudbytter (sorte vandrette streger). Der er taget ud-byttemålinger 4 steder i striben, men tallene er ikke tilgængelige for hvert enkelt sted og derfor fremgår resultatet uden variation. Da demonstrationsforsøget er anlagt i brede striber henover marken er der ingen reelle gentagelser. Det visuelle indtryk blev prioriteret frem for reelle gentagelser i marken. Derfor er resultaterne fra forskellige steder i striben, og der kan forekomme variationer i marken, som ikke afspejles i data.

Billede 2: Præsentation på temadag hos VKST om vinterhvede 18. juni 2019.
Gennem sommeren 2018 har forsøget lidt under tørken, som alle andre afgrøder. Den sparsomme mængde ukrudt, som spirede frem i foråret, overlevede ikke og ved optælling var der praktisk talt intet ukrudt.
Medforfatter: Mette Sønderskov (AU)
Gennem sommeren 2018 har forsøget lidt under tørken, som alle andre afgrøder. Den sparsomme mængde ukrudt, som spirede frem i foråret, overlevede ikke og ved optælling var der praktisk talt intet ukrudt. Nogle få kamilleplanter og tidsler overlevede i varmen, men stod meget spredt. I de radrensede strategier var ukrudtsforekomsterne primært i hvederækkerne.
I starten af juli blev der holdt møde i den nationale cluster med deltagelse af SEGES, Foreningen for Reduceret Jordbearbejdning i Danmark (FRDK), AGROINTELLI, VKST og Aarhus Universitet. Den forløbne sæson blev diskuteret under besigtigelse af forsøget og derefter blev den kommende sæson planlagt.


Det er ikke muligt at fremhæve én strategi frem for de andre, da mængden af ukrudt ikke berettiger til en sammenligning af strategierne. Der var etableret usprøjtede vinduer i marken og ukrudtsbestanden i disse var tilsvarende lav/ikke-eksisterende ved dataindsamling i juni. Dog bekræftede forsøget, at mekanisk radrensning af korn på bred rækkeafstand giver mindst samme afgrødebiomasse. Der var en tendens til højere biomasse i de to radrensede strategier, mens de direkte såede strategier havde lavere afgrødebiomasse end alle andre strategier. Den lavere biomasse i de direkte såede strategier tilskrives dårlige forhold ved såning og at forsøget kun underbygger første års marker uden pløjning.
VKST står for næste års forsøg, og det er etableret i deres demonstrationsmark ved Fjællebro øst for Ringsted i september 2018. Igen er der planlagt flere såtider, og i år er det lykkedes efter planen. De strategier, der kan sammensættes i det enkelte år, er ikke så forskellige. De store forskelle for vinterhvededyrkning kan opnås ved ændret sædskifte og eventuelt med forskellige mellem- eller efterafgrøder, dog er det vigtigt at optimere strategierne i den enkelte afgrøde også. I de etablerede strategier arbejder vi primært med såtidspunkter og såbredde. Såbredden er vigtig i forhold til at kunne benytte de mekaniske redskaber, men kan også betyde noget for afgrødebiomassen. Mekanisk ukrudtsbekæmpelse i rækkemellemrum er ikke det første konventionelle landmænd har i tankerne, men på sigt kan der blive økonomi i det, hvis udvalget af herbicider formindskes markant.
I den følgende tabel ses de etablerede strategier.


Figur 1: besøg i næste sæsons forsøgsmark hos VKST i september 2018. Nederste billedrække viser fra venstre strategi 1, strategi 5, strategi 3 og strategi 4.
Af Mette Sønderskov, AU
Efter det meget våde efterår og besværligheder ved såning er de fleste strategier kommet godt fra start i foråret. På trods af en kold påske, så har varmen i maj fremmet væksten. Dog er der områder med dårlig etablering i de direkte såede strategier. Den mekaniske radrensning i de brede rækker i strategi 4 og 6 har været vellykket og der er ikke mere ukrudt i de to strategier end i standard og strategi 2, som er sået på almindelig rækkeafstand og sprøjtet i efteråret. Der er udført en forårssprøjtning i strategi 1 og 3 med 10 g Ally (metsulfuron methyl) pr ha. Der er pletter med agerrævehale i alle strategier, men de er ikke taget i betragtning med forårssprøjtningen. Andre græsser er alm. rajgræs og alm. rapgræs. Der er en bred vifte af tokimbladet ukrudt med bl.a. kamille, agerstedmoder, fuglegræs, kornvalmue, brandbæger, raps mm.
I sommeren 2018 vil der blive inviteret til fremvisning og diskussion. Der kan løbende findes nyheder om demonstrationsforsøget på denne side.
Udover disse forsøg i vinterhvede er der anlagt demonstrationsforsøg i sukkerroer, hvor især båndsprøjtning kombineret med radrensning er i fokus.
24. maj 2018, de pløjede strategier har haft den bedste etablering i det våde efterår (strategi 1, 2, 4 og 6). Der er en mere ujævn vækst og dækning i de direkte såede strategier (strategi 3 og 5).
Af Mette Sønderskov, AU
I forbindelse med starten af et omfattende EU projekt om ukrudtsbekæmpelse (IWMPRAISE) er der etableret et demonstrationsforsøg i Flakkebjerg. For at demonstrere forskellige kombinationer af herbicidbehandling og mekanisk ukrudtsbekæmpelse i sukkerroer er 4 strategier anlagt i april-maj 2018. I tabellen kan man se de forskellige strategier. Der er lagt vægt på båndsprøjtning i kombination med radrensning. I strategi 3 blev såning forsinket med etablering af falsk såbed. Der blev harvet umiddelbart lige inden såning. Planen var at lave en ukrudtsbrænding efter såning inden fremspiring. Da roerne spirede meget hurtigt i det varme vejr, kunne dette dog ikke lade sig gøre. Det var heller ikke nødvendigt, da ukrudtsfremspiringen i dette tidsrum var meget begrænset. Det er et værktøj, der kan tages i brug, når forholdene tillader det ved behov.
I standard strategien er der planlagt 3 sprøjtninger med 0,75 l Goltix (metamitron) + 0,1 l Notron (ethofumesat) + 2 l Betanal (phenmedipham) + olie pr ha. I strategi 2 er det samme dosering og sprøjtetider, som i strategi 1. I strategi 3 er sprøjtningen rykket tidsmæssigt efter såtid, men stadig med samme sprøjteplan. For de ALS-tolerante sukkerroer bliver 2. sprøjtning udskiftet med Conviso One (30 g/l foramsulfuron + 50 g/l thiencarbazone-methyl). Dette produkt er godkendt til 0,16 l/ha i Danmark. I forsøget er denne dosering lagt i rækken som 1,0 l/ha og dermed kommer man op på ca. 0,16 l/ha på hele arealet. I alle båndsprøjtningsstrategier kombineres med radrensning mellem rækkerne.
I sommeren 2018 vil der blive inviteret til fremvisning og diskussion. Der kan løbende findes nyheder om demonstrationsforsøget på denne side.
Udover disse forsøg i sukkerroer er der anlagt demonstrationsforsøg i vinterhvede i efteråret 2017.
Danske partnere i
IWMPRAISE: Aarhus Universitet, SEGES, Forening for reduceret jordbearbejdning
(FRDK), AGROINTELLI, Frank Poulsen, VKST

Af Mette Sønderskov, AU og Ole Green, AgroIntelli
I IWMPRAISE-projektet har vi fået mulighed for at teste kameraer og software til bedømmelse af ukrudtsdække, som er udviklet i projekterne RoboWeedMaps og FutureCropping (finansieret af Innovationsfonden). Kameraerne kan måle ukrudtsdækket mellem afgrøderækkerne med et kamera monteret på traktor eller andet køretøj. Det giver mulighed for at få et mål for ukrudtsdækket hver gang der køres i marken. Det kan være i forbindelse med sprøjtning, gødning eller mekanisk ukrudtsbekæmpelse.

For at demonstrere systemet tog vi en tur henover demonstrationsforøget i vinterhvede. Normalt vil kameraet ikke blive brugt håndholdt, men demonstrationen viste at vi fik et fint billede af situationen i marken. Systemet kan bruges i rækkeafgrøder, både smalle og brede rækker, da brugeren indstiller rækkebredde (både rækkens bredde og mellemrummet). Vi vil have kameraet med i marken, når forårsoperationerne i forsøget går i gang.

I et nyt EU-projekt er der i efteråret 2017 anlagt et demonstrationsforsøg med integreret ukrudtsbekæmpelse i vinterhvede.
Medforfatter: Mette Sønderskov (AU)
I juni 2017 startede et omfattende EU-projekt, IWMPRAISE, om integreret ukrudtsbekæmpelse med deltagelse af partnere fra Danmark, England, Holland, Frankrig, Spanien, Italien, Schweiz og Slovenien. Fra Danmark deltager Aarhus Universitet, som har projektledelsen, Foreningen for reduceret jordbearbejdning i Danmark (FRDK), AgroIntelli, Frank Poulsen Engineering, VKST og SEGES. Projektet har en engelsksproget hjemmeside, hvor man kan læse mere.
Som del af projektet er der i efteråret 2017 etableret et demonstrationsforsøg i Flakkebjerg. Forsøget omfatter fem alternative strategier til den normale praksis på stedet, som er lagt i forsøget som sammenligning. Der er fire pløjede strategier (inkl. standarden) og to direkte såede strategier.
Efteråret har budt på svære forhold med ekstremt våde forhold. Dette gjorde etableringen af demonstrationsforsøgene vanskelig. Der var planlagt tre såtidspunkter i henholdsvis pløjede strategier og ved direkte såning.
Marken var ikke tjenestelig før slutningen af september (standard strategi anlagt) og dermed blev det forholdsvis sen såning for alle strategier. Resten af strategierne blev sået 16.-17. oktober, da der blev varslet mere regn. Der er valgt en nyere sort (Sheriff) til alle strategier, som er modstandsdygtig over for sygdomme, konkurrencestærk over for ukrudt og med godt udbyttepotentiale. Hele marken er gødet efter standardplan. Strategier, der inkluderer mekanisk ukrudtsbekæmpelse, er sået på længere rækkeafstand for at muliggøre radrensning. Både i pløjede strategier og i direkte såning er der lagt strategier, der minimerer herbicidbrug ved at ekskludere enten både efterårs- og forårssprøjtning, eller kun forårssprøjtning. En strategi er planlagt helt uden herbicider.

Tabel 1. Behandlinger i forsøget
I foråret/sommeren 2018 vil der blive inviteret til fremvisning og diskussion. Kontaktperson vedr. forsøget er Mette Sønderskov.
Udover disse forsøg i vinterhvede er der planlagt demonstrationsforsøg i roer, som anlægges foråret 2018.

Foto 1. Direkte såning i stub med Horsch såmaskine på 18 cm rækker.

Foto 2. Traditionel 12 cm såning med rotorharve med skiveskær.

Foto 3. Såning på 20 cm rækker med Kongskilde såmaskine med kompaktharve.

