Råmælken modner (udvikler) tarmen hos kalven
Råmælk er en ´energibombe´ med et langt højere indhold af næringsstoffer end almindelig sødmælk eller mælkeerstatning. Optagelse af meget råmælk øger muligheden for igangsættelse af vækstprocesser i vigtige organer.
Måske har optagelse af rigeligt med god råmælk også en signalværdi i forhold til generel stimulering af vækst. Når der er rigeligt med næringsstoffer, så er der basis for at udnytte det medfødte potentiale til vækst fuldt ud. Råmælken indeholder en række hormoner og signalstoffer, der bl.a. stimulerer udviklingen af kalvens tarmsystem, så den bliver mere effektiv til at optage næringsstoffer og dermed udnytter foderet bedre.
Sådan skal kvaliteten af råmælk være for at sikre kalven optimal trivsel og sundhed
Lad os forudsætte, at der tildeles 4 liter råmælk (eller svarende til ca. 10 % af kalvens fødselsvægt) inden for de første par timer af kalvens liv og at mælken er udmalket og opbevaret rent, så den har et lavt indhold af bakterier.
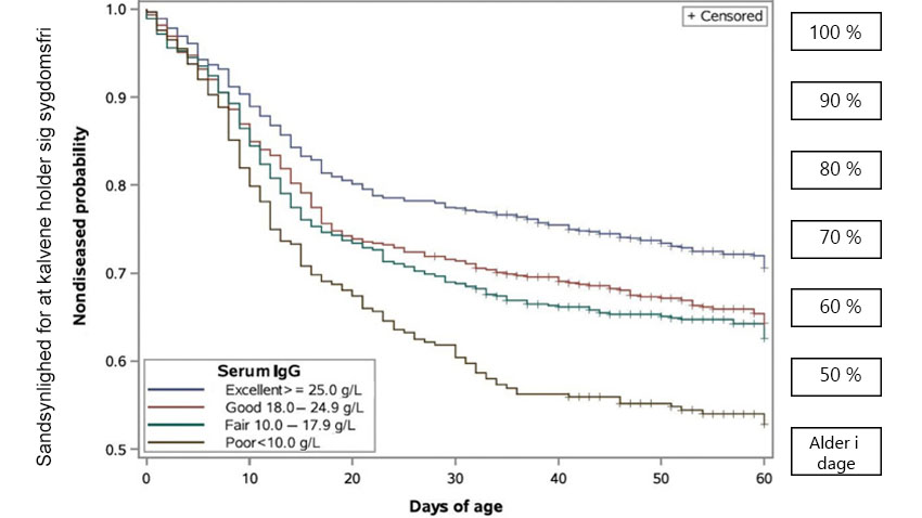
For at opnå et indhold af antistoffer i kalvens blod på mindst 10 g pr. liter (den hidtidige anbefaling) skal en kalv af stor race have 150-200 gram antistof i alt. Råmælken skal derfor gerne have et indhold på mindst 50 gram pr. liter. Hvis der anvendes Brix-måler til vurdering af råmælkskvaliteten, så svarer det til en værdi på ca. 22.
Hvis man ønsker, at kalvene opnår et indhold på 25 g antistof (IgG) pr. liter i serum (svarer til indholdet hos de kalve, der klarer sig bedst i figuren ovenfor), så vil en kalv af stor race skulle have omkring 300 gram antistof. Råmælken skal derfor gerne have et indhold på 75 gram pr. liter. Hvis al råmælk opnår en Brix-værdi på mindst 22, så vil indholdet af IgG i råmælken i gennemsnit ligge på 75-80 gram pr. liter.
Meget tyder på, at det vil kræve en kraftig opstramning af rutinerne i de fleste besætninger.
Frisk råmælk kan være bedre end frossen
Råmælksbank i fryseren opleves i mange besætninger som et effektivt redskab til at sikre kalvene god råmælk til tiden med en rimelig arbejdsindsats. ColoQuick-systemet som i dag er vidt udbredt blandt danske malkekvægsbesætninger, har gjort det let og hurtigt at håndtere råmælken fra ko til fryser og fra fryser til den nyfødte kalv. De fleste forskere er enige om, at et velfungerende system, der inkluderer frysning af råmælken, generelt er en fornuftig løsning.
Råmælken er dog ikke helt upåvirket af frysningen. Den friske råmælk indeholder levende immunceller (hvide blodlegemer) som sprænges og dør, når mælken fryses. Der hersker nogen uenighed om betydningen af disse celler, men det er sandsynligt, at de har en vis betydning ift. overførsel af såkaldt specifik immunitet fra ko til kalv. Derfor kan det være en idé at tilstræbe fodring med frisk råmælk, når det er muligt, - specielt hvis køer og kvier i besætningen vaccineres mod fx E. coli, Rota- og Coronavirus for at forebygge problemer med diarré hos kalvene.
Blodprøver af kalvene viser om vi gør det godt nok
God kalvesundhed kræver konstant fokus og gode rutiner. Ikke så snart er fokus flyttet væk fra kalvene før udfordringer med fx diarré kan opstå.
Heldigvis er netop råmælksoptagelsen meget let at kontrollere. Skal man undgå problemer, så er det nødvendigt løbende at tjekke, at kalvenes optagelse af råmælk er tilfredsstillende.
Det er en oplagt mulighed, at besætningsdyrlægen tager blodprøver af spædkalvene ved hvert besætningsbesøg eller mindst en gang i kvartalet. Der skal undersøges prøver af 10-12 kalve for at få et rimeligt sikkert billede af besætningens status. Blodprøverne skal centrifugeres, hvorefter en dråbe serum kan udtages og måles med Brixmåler. Mindst 90 % af prøverne bør have Brix-værdier på 8,4 eller derover. Dyrlægen kan foretage målingen i eget laboratorium, eller en medarbejder på bedriften kan trænes til at gøre det.